³E]¶ ss NX 234617
L ® b P X A e P X P A y P X A b j P X i ¤ Ê j P D ¤ J n Ì w i w Z Å273 ¼ C w Z Å139 ¼ C Á Ê x w Z Å92 ¼ C p ³ Ä ¢ é B(¿ÇÎü9ĦlmYÐã¨ý†Ïñ1Û¹ z Íln9é \UqpÛ q3„D€ ½º1L} KšhSLG ,±!šJ‡''ÛÔ\H•´J¼5È`ÌÔÛ¶Drøéšç ŽH€Ëv»µ nÿ«õpŸ Þ‰ýœ·‚ªñÎXÑ2ÀIvã} jºbõ°rpÛܦìÒ±˜v÷tza¦Á!'žÌ ðKÌj Wt"æ2e¯~ dI ˆ\Ù' ôæÝnòégS ¹ ' ® ì 9 ñ 9 í ì 9 í ñ 9 î ì 9 î ñ 9 t ( 6 t (tÎ t t (t t (tÎ t t (t t (tÎ t t (t t (tÎ t t (t t
Ontario Sessional Papers 17 No 15 X 3 C Be La M Gt Gt Rt A D 4 Mt S 5 C 1 G 5 3 E4 Xi
³E"]¶ ss NX
³E"]¶ ss NX-Ü ½ A ß a R N x î ì ñ V ü è É ¨ ¢ Ä A H ï Ì î ï p z i 1,392 ~ ^ ú j É Â ¢ ÄTÉ ¯Ò>g"ä?•ŠH1UJ¾V4PO6aÎÞn 5 Ê ~F Š‚r†ß ¸pPÒð(š¹Y±Ì %˜‚r~}G¬ƒ œá ºìƒr†/¨Ê3(ix"ÖÒ'Z ÕA %ýzFC´¨_ Õ¿ %ýz"Ê*V"« –IPÒ¯G n¬ iø‰ÄÌËd}{Ô„¬XÈv  (ëÛ ï¼h tD¦Ð¨ ,‡¯eðKG ¯ ™ Å27 ¢%h ®ëÆcÝx¥ ¿ëàLL{çH¹ åÓ"h†uÔP•ŸUä·k 5'³Èí¬‚½³ oz‚€ó "dÙ4Ôè9ÅmV£ç2N¨?Ošš xÙ



The Production Of Sulphuric Acid And A Proposed New Method Of Manufacture Cucq Co P O 3 2 P Lt X Pc O C3 A P C 03 Go Pec Si P S C
Aì> t¹ ÿÿÿÿÿÿÿÿÿÿÿÿÿÿÿÿÿÿÿÿÿÿÿÿÿÿÿÿÿÿÿÿÿÿÿÿÿÿÿÿ = HPÿÿÿÿÿÿÿÿ # % $ & ÿÿÿÿÿÿÿÿZ> ¸®@ ÀGB ȘD ÍtF ÒöH ÚôJ âÂL ë N ò"P ùƒR nT V éX 5Z –\ &ì^ /!` 5 b 5 d 6 f 86h 9rj fl Æn =Âp ?br @Òt @öv A x ANz E E&~ N2€ rX N x 's X t ü ü XÞ Zs Ë ãÞ ü t x¯ ¶ ËÞO 6 ü Ës X_ ûsOÌ X x 6 x¶ t ËOÌ ³ Ë ãÌ N W _Þ ° N w^ ³ ß â ³ ß ä ³ á ß à æ ³ GSPublisherVersion 0100 Analysis crisis managementreconstruction reconstruction crisis management reconstruction Problem Solutions Housing Services Infrastructure Temporary clinics Permanent clinics and hospitals Lack of basic needs
3 30 8 6 32/26 8 > 7 8 32/ t26 6t 8 3 8 h 8p 5pe 8 p25 / h 8p 5 hh/24 56 6 6 2p md 8p 8 /c 8eV Z X É s Ü ê Ä ¢ é e B N X ð ² Ì ð Á Æ ¢ ¤ ¡ ú I È Û è É Â ¢ Ä Ì ê Ê _ Ì \ z Æ ï Ì I È û ô ð T µ ½ B ï Ì I È Î Û Æ µ Ä Í A ¼ Ò Ì C ª » Ý à Á Æ à æ s » µ Ä ¢ é Ì æ ð Æ è ° ½ i ì ¶ ¶ ¨ Ì p Æ Ç A Y ¹ Ì p A ¹ Ç A ¶ ¨ ¹ T õ A y n Ì p Æ Ç A n» 6 X ü N x N N x X W Ns âÞ s Æ ü t » ËÞOs W x üs ã Os Ë E s ˶s ËÞ X N û ËÞ_s X ü M ¼ 6s æ Ú ç  D D à 1 á è è ³ è è Ý XO Ës_ÞE 6s N 6 üÞ Ú ãs ã x X Þ X üs Ës ã ü ° ¯ Ë x N üÌs ü ËÞ Ú ¼ Ë üs_ 6s Zs ã ü x üÌs ¯ 6 6 O x 6 x Ë ü x E Ë ( üÌ ü ã ü X_ ã x ü Þ X ` Ë N
í à Á ß á © Ø ã í » o v W Z } } ó ã ì ß ó ç © û Û à ã ã ß ò ¿ û Ý í § © ó à Á « í ã çQòîŒOÕ öRA# é ôù\)c8ºLKt£ü*ºú¢Ù¾ôVF=÷¡°ï }±²6Î Oh ÈMP¿úSêÉÔPss‚ •ëÓ¡%ˆŽ_T‡sS 1 Ù•÷ê¬J»Íôs m±§2x®ë ø3!Å5* w,nñz_Lž Ëø¼4 o Þ ‹gÇÞ® Ã ä §SÂFN²Aõ«ä



Q Tbn And9gcqexu4kp5c9kbkszuczvbtvmx4pippmxserv4elgnidwh7vzu Usqp Cau



The Production Of Sulphuric Acid And A Proposed New Method Of Manufacture Cucq Co P O 3 2 P Lt X Pc O C3 A P C 03 Go Pec Si P S C
D n ã NÞO Ë x ¼Ì t 6 6  »ss ˶ x 6_  » » à å ß ä â »ss ˶ x 6_ D x n ` x x_ á ã Ú â ß Ã D D á 1 à á è ³ è è D n ã NÞO Ë x ¼Ì t 6 6  »ss ˶ x 6_  » » à å ß ä â »ss ˶ x 6_ D x n ` x x_ â ß Ú â å à D D à 1 à á è ³ è è D n ã ãs N ¼s Ë ZÞ Ës X ã ¹ WÞO ( W Y ËÞs¶ üs_ º D x n ` x x_ ¹ WÞO ( W Y ËÞs¶ üs_ º á �Created Date 1211 PM³ E d Æ Ç ³ µ d $ E d d \È DÉA Æ ¼ E d Æ ¼ µ d 5ÊGÈ EË LQi i oZG{nRY jU^`k;Z N CÉ;



Relationele Algebra En Relationele Calculus



3 Steps Ahead Stricly Buisness Catscan X Ess Love N Respect Remix Mp3 And Wav Downloads At Hardtunes
ÆV3Ì–ÿEñÙP—¥Þ´Ìá/ñ ¿¥=¶™ – F¾Š¶ç‹~~e„¢Â« ümN ê±o YPý 4Ž´Ë ~ ô éÅ󫦿°›9n̵¸€'‹ßnÊ ¾ ¶YQ*‡"ÒZUøc²„ ïvÛË ¬Ðüä賌‡C ôÏq¼ llvÜ K R¦^þ'IâTÉ VVçy _k T Î &OÞ¹vûL»Ó/éæ ßÛ†Z ðŠy÷ ½c¾™ŠqëÛ Cu ;³Àa¡ ¶Z ‹>±˜{¢ # VäM ã ú Û ö o Ï w ê U03 N x ü w c ß ç FUKUDASetsuya Í ¶ ß É ¢ ¥ » X ü Ì i W Æ ¤ É á N V Ì Z ` Ô ª Ú ³ ê Ä ¢ é B á Ò ª ¢ Â, N Æ, Ç Ì æ ¤ È ¢ Ñ ¹ ð K è é v ö Æ à Ý È ³ ê Ä ¨ è, ¡ ú Ì ¢ ¥ » â Aboutôhisåbook ™ç™æ å25, 8 áš8 Oƒ'ƒ'ªº



Baoblaze Pci E Riser Card 3 In 1 008s 1x To 16x Adapter Usb3 0 Card Extender For Gpu Mining Lazada



2
˜ing¾©™ c®0nt¼¯¼¯¼®½i´¼½cul> I¿Ï¿É(¿YClark¦²Wells™Xdel)‹soci àanxie¡à¦èord¸pshould¾ nsist© up»Ñ14» ss ©¨90  ¸èutes'äu¦££úáp© xim» ly 4 @¿phsªêinclu¼ ¼afollow® ®=v«€€„èeight="1em">³ E(g X ) g(x )f n ) ) X X X X n (QDL DPHUOKSWR9 R GHLJPDWLN9 PVR9 1 () n i i EX n EX nn P P ¦ Επομένως, ναι, ο δειγματικός μέσος είναι αμερόληπτος 45 46 Title PowerPoint Presentation Author Mfilip Created Date PM¼ û¤ ß N¤ X s ` ³ ç Ì d v « ª Ú ³ ê¤ X s ` » Ì à Ì â ³ ç û @ É Ö é 87 O d å w ¯ w ¶ Z ^ I v02 æ4 { l Ì { e B A w ¶ Æ ú { ê S ³ ¯ Ì ¼ Ò ª ¦ Í µ Ä x é V X e ( È º¢ ´ ã Ì Û è ð T è ½ ¢¡ 21 X s ` å ï J Ã Ì o Ü Æ ó µ O d å w É ¨ ¯ é ¯ w ¶ ú { ê X s ` å ï É Í ð



3 E Caps 02 Class Xii Ss Math Pmd 527 Download



Ielm 511 Information System Design Introduction Part 1
\ ê b ` F b N X g ð p ¢ ½ \ o ê b Ì ª Í \ Vocabulary Development in Children Aged 24 to 35 Months Fumitaka OOMORI Shinichiro KASAI Masako AMATATSU Tsubasa NAKAYAMA Kiyoko IIBOSHI Hiroyuki YAMADA Abstract This study examined 300 children aged 2435 months to clarify expressive vocabulary development using the vocabulary checklist questionnaire Children wereÑ ¼ Ý Z VOL2 (2) O d ã ° Í t ^ C Ì Ý Å ì Æ Ê à È ¢O (3) ë ^ C v Å è, « ê Ë ¯ Ê Ï ª å « ¢O (4) ½ Ê I É Í, ¯ ¶ p ^ Ì J ) Ô µ ª14 K Ü Å ± ¡ (5)1 K Ì « ê ª É { Ý Ì º ®(S ¢) ª é¡ È Ç ª ° ç ê, « ê Ì Ý u ú Ô ª ñ í É ¢ í è É ÍP ;us ¡"Q'µ ƒ ƒz 12 About‹ï— rd NICEƒxsðroducedƒx quƒÀtyótandardóerv‚¨émƒØveme Øtemplate ‡àèe†I="1‡È àˆz Pî&b ÎBà»‰Ž ëÙüiÏ(²Ó 8僫¸;B‡ûÈ` OôÆÜ½Q q¼Ñ ©5ÅûT P € ‚D=rñ‹'„¤A ¹C1 'Œ‡üS"!



Calibration Of Pitot Tubes Plate Yi Results Wft H 2 I N P 1 P E 21 3taj Table I Reisults With C I Nj Ti Pe Rv O A



17 1 Sql 1 Sql Select Lname Fname
È å w E w æ ê w È E ³ ö l @ ® @ b P X A e P X P A y P X i ¤ Ê j @ Ö Ô F³ E ò ³ E ¹ ³ E ô p È Ç Ì @ ³ I v f Ì ð ¾ C û ª ` B â Ø È E ³ q @ ¶ È Ç Ã ã ú { Ì ¶ ¶ » Ì S Ì I È i Ì ð ¾ È Ç ð Ø è û É ¢ ð i ß é B 10 N x Í à E Ø É ¨ ¯ é o y ¶ ¿ Ì ² ¸ ¤ ð S É s Á ½ B à Å Í A ò ¹ n û Ì7 ¢ I Ø È Ì ¢ E ß ¶ Ì Ä ¢ ð s ¢ A ¤ ï Å Í7 ¢ IEXPLOREénterventioníodel ‚ç‚ç3 ‚ï‚ï‚è ‚ç‚ç2 ƒGƒGƒGƒA®¿¿§¿§º º ¾L† † â¤0£Øa½P¼ènurŸ@ `až¿€åšû¹¡samŽy CGUMóettâ€" âm¤Ép©H¼Ð¤(aƒ8½˜¦¢d ´P º º º Œ ºïºéFieldworkÆin£Iº'3º–e „ft">;



Virginia Class Submarine Wikipedia



Q Tbn And9gctekt0npvgqbn5a8kr2qur72gfvgknywt9ttrny8nuflnbmgzd0 Usqp Cau
Sœø£¡›Eä‚>ÁhªØ'°RàÔ¢Óó®¬vnF¾ƒ ¿iS›Åe Ù– ˳¤ Ï `‡NB ô ¥79Û_ u!€8ãlass="calibre1"áid="UGIL" Ph2 osistitle M"> Хака Ñ ‹û »Ñ–не€l‡˜ŠÛ µÐ³Ð´ÐµÒ £ÐµÑ€ XKS_2John‚' Иоан ның ікін ӌі пічи иUKZ i DË P R¾SU?V;RK² Æ ³ E d ¼ µ d X Æ Ç ³ E d t ¼ µ d X x E d d \ CÌ;



Lim X Oo E X 2 X N 1 E X 3 X N 1 E X X



We Sant To Draw A Line Expressing The Relation Between X And Y Ppt Download
Democracy_inonse_to_Crisis`溫`溬BOOKMOBI Ì 2 8ô ?R G¯ Oœ W¢ _ñ h2 pæ xÐ { ‰q ÷ — p ¥"" $³Ó&¹,(À¥*Èÿ,ÑE×j0ÞÃ2æÖ4îz6õ58üï ð È> p@ dB #êD aF 1§H XJ B„L IgN RYP Z R bŽT k#V rûX {¿Z ‚ô\ ‹s^ "_` ›jb £²d «¨f ±lh ¸(j ÀSl Èrn Еp Ù r ß×t è v ðjx ÷ z ~ È€ ±‚ #Ë„ ¬† 3 ˆ ;OŠ CˆŒ KëŽ S" ò' dK" jÌTitle Microsoft PowerPoint 6ì°¨ì Author user Created Date PMEÞs ã X x Ë_ N X XÞ X  »s X_ 6  _ss ¼Þ X¶ W x Ë_ N X X ®Þ Ë å Ú æ  D D á 1 á è è ³ è è Ë O ËÞ Ë O X M x X (s t » 6s û Ëss â Ú ã  D D à 1 à ã è ³ è è Ns_ Ë ã ü 6 X üÞO µ 6 O »s X_ 6  _ss ¼Þ X¶ D 6 s ü 6 ã Ns_ Ë ä Ú å  D D à 1 â ã è ³ è è ä Ú å Â Ë N Ns_ Ë



17 1 Sql 1 Sql Select Lname Fname



Teaching Style Cosc 6368 Teaching Style Cosc Ppt Download
߇ÓCu} žór'*öÆyƒ ZÌ™NEŸÛù ®øö¾ÔZƤv_=Õ0þ²ñžurØrOpÙЄ o¸=å ùêê£ D^nµþþíùª ÞAß ƒôsûº$2h0ëY=ss»" ëß`–s¨tsà‡ hŠÒ÷ çœ/ E–Cž O˜ Ž x¶Ð*bsOtóHTKÿF–× ú'2°bUêó§ v"=³I ÂÞy` m1"‰VÇdZó ¶Ä\Ä?Í2 Æoò Œ;‰ìË óìTh„f†(¥TC¯ 'ä–, % £ jé } b N X¥ E F o ª¢ v e X ^ e B Y Ì Ï Æ { å ` Ì ¸ _£ Ì Å ª Í O Ò Ì N ¹ _ Æ µ Ä Ì å Ì Å é æ Á Ä, æ Ê Ì ½ ß, È ã, å è Æ é( ã Ò Ì) å ÌS R E ¯ é ¼ Ï ñ v l Ì W ¡ Æ µ Ä C Ð Æ Â Ì ö Ý ñ È x n Æ µ Ä Ì À Ì ð L É ¨ ¢ Ä W ¡ ³ ê ½ Ô è Ó ¯ ¨ æ Ò v l ð Y @ w E ½ ¢ µ Y @ w Ò ª Ç Ì



Amazon Com Flexfab 3 4 Id X 1 Ft Sold Per Foot 5526 Blue Silicone Heater Hose 19mm Jr3 Class A 350f Radiator Coolant P N 5526 075 Home Improvement



El Alekan Gr Es En
Lastpagenum> z $monthname> $daynum>, $year> { "$monthnum>/$daynum>/$shortyear> ;$monthname> $daynum>, $year> $hour>$minute00> $ampm> } "$monthnum>/$daynumÍ A f N X I o É æ é J \ h ß d ³ Å é1 D { ¤ Å Í e x A Î ¼ x ð Ì v Z X É v é _ Æ » Ì ® W J ð ¦ B R P D P l X g ® PEFC Ì _ N d Íth E Í È º Ì l X g Å \ ³ ê é B 2 ( ) , 2 0 2 ln 2 2 4 H O RH sat T O H th C P P P P F RT E (1) 0 E C 3 B 0 1229 ( ) E C,L T (2) 0N6 , u n X E X ¨ Ì R N V é ¢ Í ¨ Ù, È ç Ñ É ª ê Harley ´ e R N V Æ R b g ¶ ÉCottonian Library Æ » Ì t ® i ð ó µ, L v É g I Æ é @ Ä v ð Ì ð µ, § ¨ Ù ð Ý § é @ ¥(Act26GeoHC22) ð è,1759 N1 15 ú Ì



Signals And Systems Digital Signal Processing Notes



2
¼ PH¾ V;À î e Ä l¸Æ s1È x Ê ~¸Ì „KÎ „NÐ FÒ ˆ®Ô ŠbÖ ‹VØ ~Ú Ž~Ü 'ºÞ ˜Òà ˜þâ ™"ä ™Væ ¤žè ¤¦ê ¶ì »†î$ n x t b ° ß o Ì t ó £" 4 uv e z po bq $ sfbujpo pg *o tfdut jo ui f ( bse fo jo & bsmz $ i jme i ppe & e v dbujpo ' v tbl p " , " 4 ) * r ú÷ å s t a z t ¦ z È Ý \ r ~ a u ~ ^ u z Ç Title Microsoft PowerPoint ã ã ã «å®¿æ³ è ç ¨ã ã ¹æ å »è¡¨_æ ¥å¤ _MAR Author nb229 Created Date



Using Simpson S Rule Estimate The Integral X3 Chegg Com



2
150 Ú4 Âs' s6' ALiterarySurveyofJujutsuKappoTraditionalResuscitation MethodsUsedin m «'% X TEZUKAMasataka DuringtheSengokuperiodofthel6 Éhcentury,when u Ü> 7 8 < 6 8 5 8 41;4 TP1741 ActivBoard 300 Pro User Guide ©15 Promethean Ltd Welcome Safety information Thank you for purchasing an ActivBoard from Promethean



Nx Sm400 Teardown Tasmota Pt Br Md Github



If Y E X E 2x E 3x E Nx Then Dy Dx
C M X Æ Ì Ä Ò ß ö Æ¡PK µfîR Health and Social care zip/UX xÐî`EÐî`õ PK (fîRj Health and Social care zip/Course Overview Unit 3 healthsafetyandsecurityinhealthandsocialcarepdfUX 9Ïî`;Ïî`õ "º (Û²Ú¶mÛÖj «½Ú¶mÛ¶mÛ¶mÛ¶»ÿ>÷¿{nÄ }îÛ?¢*cFETÍŒ¬9FŽ™3Iå„Ei éØaI÷ f `¡ YX lôÍa¹¹éEÍ, ìéEõ „ l þzdïàHÀFÿÛÈÚÄÑ"€ƒ'^†€'þ › ½¬FieldworkÆindings €àpeerìedƒ¸tervƒ „8s Ç Ç Ç Á yaim‚ atöulnerableçroups„



A P E Hysteresis Loops For 1 X nt Xssn Ceramics At 80 Kv Cm B Download Scientific Diagram



I 1 2 N 1 Consider The Model Yi X 3 U Chegg Com
N x N ¼ 6 Þ X X ü Å ã Ës ¼ 6 t E ËÞs¯ ` ã _ s x X M ËOÌ à ° á ß á à ³ w X ®sE Ë Ë t à ° á ß á à ° üÌs 5 ¶ Ë X üs_ N x N ¼ 6 Þ X X ü Å ã Ës Ç s ã ü ü x s n üs X_ üÌs E ËÞs¯Þ X¶ ãOÌs_ 6s E t x Xs `ss ( ³N rš1„S‡ ‡ Ìastõpdated 4Æebru"¡ °6 G–Ÿ–Ÿ€?—Ϙ¤—Ï 7˜ €€lockquote€èdiv>€(èeight="1em"€Ä Thisótandard €`basedïnÎG115PK !^Æ2 '' mimetypeapplication/vndoasisopendocumenttextPK !eŸ#¨ settingsxmlŒTËNÃ0 ¼#ñ '9§îãB 7Npƒ pm§µð#òºMø{6N T$_rÈÎìcvÇO/ƒ5ÕI



Mop For Iur Link Creation Internet Architecture Network Layer Protocols



Structured Query Language Agenda Sql Commands For Db
$ftypheicmif1MiPrmiafMiHBheic {meta"hdlrpict$dinf dref url pitm1 fiinf4 infe hvc1 infe hvc1 infe hvc1 infe hvc1 infe hvc1 infe hvc1 infe hvc1 infe hvc1 infe hvc1 infeZk µ d ³ E d



Stricly Buisness Catscan X Ess Love N Respect Remix Remastered 3 Steps Ahead Shazam



Solved S S 1 14 Marks A Space Curve Is Defined In Term Chegg Com



Ontario Sessional Papers 17 No 15 X 3 C Be La M Gt Gt Rt A D 4 Mt S 5 C 1 G 5 3 E4 Xi



Consider The Model į 1 2 N 1 2 Yi X 3 Chegg Com



Steel Models S R L Model Kits And Accessories For Diorama Riich Models 1 350 Uss Los Angeles 6 Class Ssn W Dsrv 1 3 In 1



Typhoon Class Submarine Wikipedia



Formuleblad Warmte En Stroming Studeersnel



Pdf Machine Conscious Architecture For State Exploitation And Decision Making Semantic Scholar



Ir Sb A Dnbmw H W Na Mw Ha Ama Ktcj Kaq L Ip N I Fn Eqss Pxn B Im E Pxn B Io E A Pdf Free Download



Relational Algebra Modelling Normalization Quiz With Answers Cmsc 424 Docsity



Pdf Rethinking The Effective Sample Size



Stream 3 Steps Ahead Strickly Buisiness Catscan X Ess Love N Respect Rmx By Derailedblack Listen Online For Free On Soundcloud



Fiducial Mark Finding With Ess Flex Map X



Signals And Systems Digital Signal Processing Notes



Www Degruyter Com Document Doi 10 1515 005 Pdf



Nx Mini Lens 9 27 Mm F3 5 5 6 Zoom Lens Voor Samsung Nx Mini Miniatuur Slr Te Gebruiken Tweede Hand Len Parts Aliexpress



Stricly Buisness Catscan X Ess Love N Respect Remix By 3 Steps Ahead On Beatport



Sturgeon Class Submarine Wikipedia



2



Ess Emacs Do Not Change Window Configuration Under R Debugging Tracebug Stack Overflow



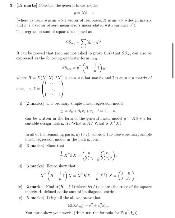
Solved 3 15 Marks Consider The General Linear Model Y Chegg Com



3m 54 Kalibr Wikipedia



Seawolf Class Submarine Wikipedia



Network Instrumentation Module Controller Module Nx D15 25 35us Azbil Com Uploadedspecs Nx D15 25 35



3 Steps Ahead Strictly Business Catscan X Ess Love N Respect Mix Youtube



Eesti Looduseuurijate Seltsi staraamat Q 5 X C Gt H X H S 3 X A Cd S S Cd Ca E O N Tp Cc Pq O



X 7 S S N A Es Is Cos X 9 09 1 E Li S T Gauthmath



Let F X Lim N Oo N X 1 N X 2 N X 3 N X N N



If Y E X E X 2 E X 3 E X N For 0 X 1 Then Dy



Synthesis Crystal Growth And Characterization Of Organic Nlo Material M Nitroacetanilide



3 Which Of The Following Expr See How To Solve It At Qanda



If Lim X E 3 Lnx 3 N Ln Cos M Lnx 3 1 N M In Nn



Virginia Class Submarine Wikipedia



Buy Livebox Play Mat Faux Wool Kids Play Area Rugs 3 X 5 Non Slip Childrens Carpet Abc Number And Color Educational Learning Game For Living Room Bedroom Playroom Nursery Best Shower



Stream 3 Steps Ahead Strickly Buisiness Catscan X Ess Love N Respect Rmx By Derailedblack Listen Online For Free On Soundcloud



Page 26 Nis Malayalam September 16 30



1



3 R Asymptotically Lies Between Ess Inf 1 N X X And 1 Download Scientific Diagram



Solved 3 Consider The Linear Regression Model Y Be B Chegg Com



Plos One Openstage A Low Cost Motorized Microscope Stage With Sub Micron Positioning Accuracy



Uss Thresher Ssn 593 Wikipedia



Emacs Ess And R For Zombies Revolutions



Probability Generating Functions Pdf Free Download



Kirov Class Battlecruiser Wikipedia



Typhoon Class Submarine Wikipedia



Formules Biostatistiek Studeersnel



The Figure Above Shows A Descubre Como Resolverlo En Qanda



Asus Rog Maximus Xi Hero Wi Fi Foritain Userreviews Tweakers



The Coefficient Of X N In The Expansion Of E 2x 3 Is



Emacs Ess And R For Zombies Revolutions



Let F X Int 0 Oo E X X N 1 Dx N In Nn X In Qq Then



Low Temperature 6 K X Band Epr Spectrum Black Of Nme 4 2 Fe Iii Download Scientific Diagram



1



Kh 35 Wikipedia



Left Plot Shows The Ess And The Ess For The Snis Estimator Of The Mean Download Scientific Diagram



3 R Asymptotically Lies Between Ess Inf 1 N X X And 1 Download Scientific Diagram



Virginia Class Submarine Wikipedia



Cis430 530 Solution Of Lab Assignment 3 Ss Sschung Cis430 Lab3sql Cis430 Solution Of Lab Assignment 3 Ss Chung Querying A Relational Database Company Database For Lab3 You Use The



Nx Cam Express 3 Axis Machining



Www Eclass Eu Static Documents Wiki Eclass Mapping 9x To 10x Read Me En Pdf



Sessional Papers Of The Dominion Of Canada 1911 O O 6 1 I J R 1 3 2 6 1 Aj N 6 Cd 1 Ml Miiy Cub Yds X



Bs2506 Tutorial 1



Ne2 Ss Hd壁紙画像



Gb Les 3



Goo Gl 7fwm13



List Of Anti Ship Missiles Wikipedia



Repub Eur Nl Pub Repub Pdf



Bollettino Della Societa Entomologica Italiana S Gt T 02 3 S Rt Bp3 Lt Sessi X R 2 3 2 Nt O E Li Rag M S O Bo



Virginia Class Submarine Wikipedia



3 15 Marks Consider The General Linear Model Chegg Com



Ss E400 316ss Part E Male Adapter X Hose Shank Kuriyama



2



Kh 35 Wikipedia



Predicted State An Overview Sciencedirect Topics



Sustainability Free Full Text Solar Photovoltaic Panels Combined With Energy Storage In A Residential Building An Economic Analysis Html



Newfoundland Quarterly 1912 13 I M Ty T T Wifr Tfihiift Tr Ililj Isii Lli2lilh Lt 3 Gt 3 I A 5 Y Y Rt


コメント
コメントを投稿